Extra Ordinary Meeting
Meeting Date: Tuesday, 12 May, 2020
Location: Council Chambers, City Administrative Building, Bridge Road, Nowra
Time: At the conclusion of Strategy & Assets Committee
Membership (Quorum - 7)
All Councillors
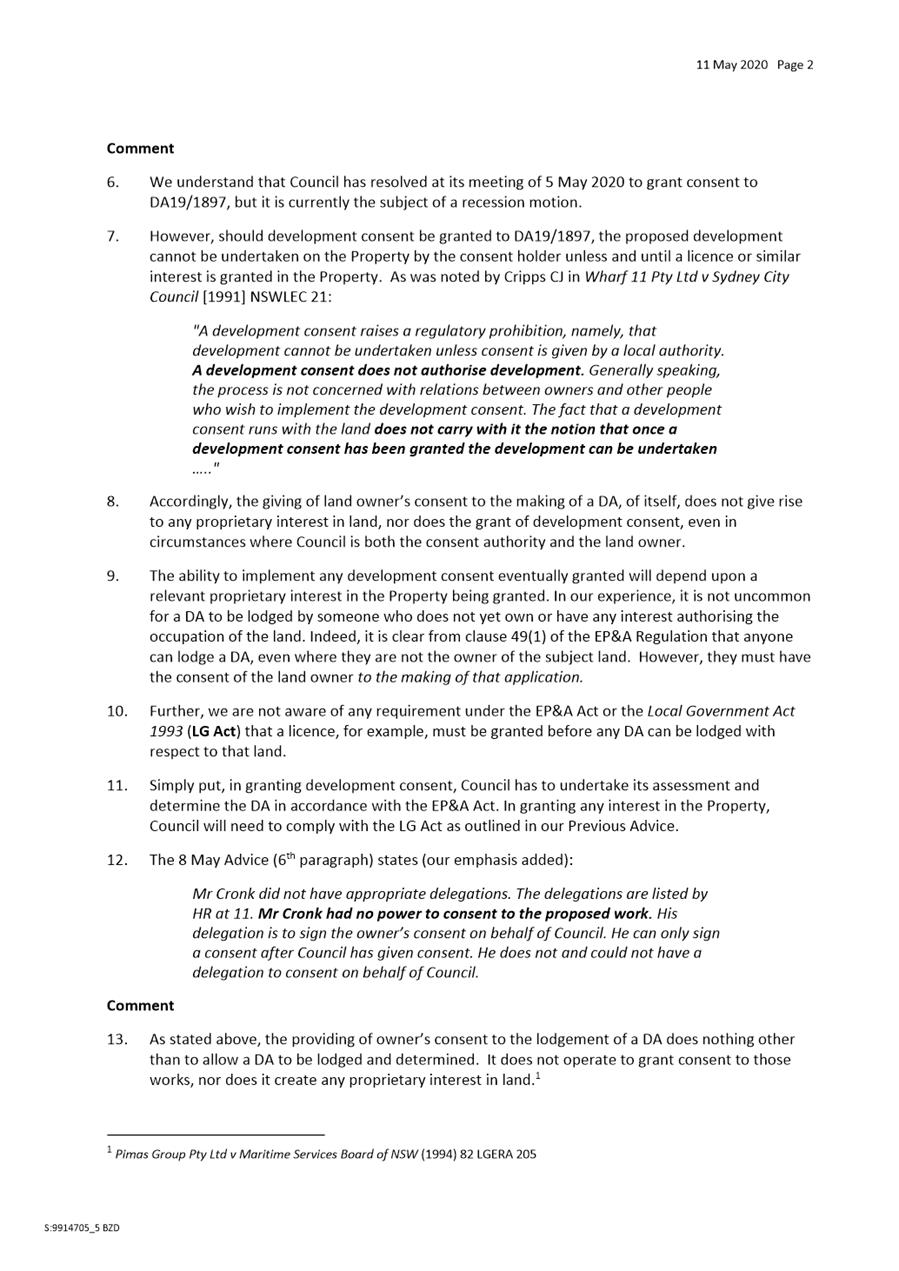
Please note: The proceedings of this meeting (including presentations, deputations and debate) will be webcast and may be recorded and broadcast under the provisions of the Code of Meeting Practice. Your attendance at this meeting is taken as consent to the possibility that your image and/or voice may be recorded and broadcast to the public.
Agenda
1. Apologies / Leave of Absence
2. Declarations of Interest
3. Notices of Motion / Questions on Notice
Notices of Motion / Questions on Notice
CL20.104..... Rescission Motion - CL20.102 Independent Legal Advice - Development Application - Lake View Drive Burrill Lake - Lot A DP21307........................................................................ 1
CL20.105..... Notice of Motion - CL20.102 Independent Legal Advice - Development Application - Lake View Drive Burrill Lake - Lot A DP21307........................................................................ 9
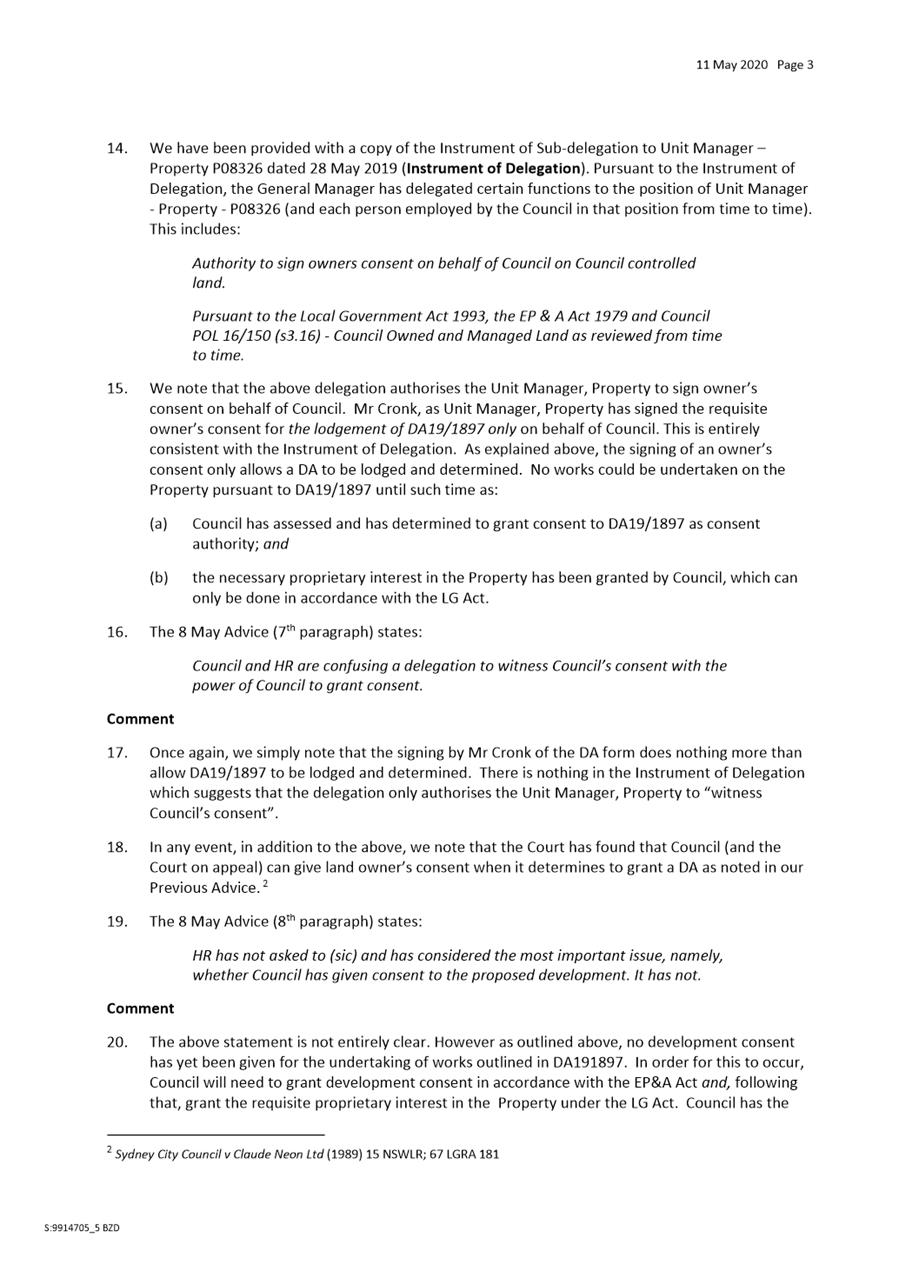
4. Reports
Planning Environment & Development
CL20.106..... NSW Coast & Estuary Grants - Bushfire Affected Waterways...................................... 10
CL20.107..... Proposed Subdivision of Land, Approved by NSW State Government - Manyana............. 18
|
|
Extra Ordinary Meeting – Tuesday 12 May 2020 Page 1 |
CL20.104 Rescission Motion - CL20.102 Independent Legal Advice - Development Application - Lake View Drive Burrill Lake - Lot A DP21307
HPERM Ref: D20/163908
Submitted by: Clr Mitchell Pakes
Clr Greg Watson
Clr Patricia White
Attachments: 1. Advice to SCC regarding further legal opinion ⇩
2. Advice to HCL ⇩
Purpose / Summary
The following Rescission Motion, of which due notice has been given, is submitted for Council’s consideration.
|
That Council rescind the Motion relating to CL20.102 Independent Legal Advice - Development Application - Lake View Drive Burrill Lake - Lot A DP21307 of the Council Meeting held Tuesday 5 May 2020.
|
Background
The following resolution (MIN20.327) was adopted at the Extra Ordinary Meeting held Tuesday 5 May 2020.
That:
1. In respect to the development application for relocation of the Children’s Playground and construction of a boat shed at Lake View Drive Burrill Lake (DA19/1897), Council note the independent legal advice obtained from Holding Redlich dated 4 May 2020 that is summarised on page 2 of that advice as follows:
a. The exercise of the Council’s functions as landowner under the Local Government Act are separate to the Council’s functions as consent authority. In assessing and determining the DA, Council is required to comply with the relevant requirements of the Environmental Planning and Assessment Act 1979 (NSW) (“the EP&A Act”). The EP&A Act does not require the Council to consider the Local Government Act 1993 (“the LG Act”) as part of the assessment of the Development Application.
b. The Development Application is valid and capable of being approved by Council in that:
i. The Development Application can be lodged by any person with the consent of the landowner (in this case Council); and
ii. Council has given written consent, consistent with the relevant delegation.
c. The Plan of Management permits the kind of use proposed by the Club in the Development Application.
d. Any development consent would not entitle the Club to occupy the Land: it is only approval to carry out the proposed development. The Club would need to obtain a licence to occupy the Land which can only be granted in accordance with the LG Act.
e. Council has the power to grant a lease or licence for the use of the Land by the Club under the LG Act and having regard to the Plan of Management, subject to complying with the necessary requirement of the LG Act.
2. Having regard to the above legal opinion and on the recommendation of the Director Planning, Environment & Development in the report submitted to the Development and Environment Committee dated 7 April 2020, Development Application D19/1897 for the relocation of the Children’s Playground within the reserve and the construction of a boat shed for the storage of paddle powered boats on the land at Lake View Drive Burrill Lake – Lot A DP 21307 be approved subject to the recommended conditions of consent contained in Attachment 2 to Attachment 1 of this Report.
Note by the CEO
In response to further correspondence dated 11 May 2020 from objector Mr Laan and accompanying legal opinion of Solicitor Mr Davenport dated 8 May 2020 (copy attached), Councillors are referred to the attached legal advice from Holding Redlich dated 11 May 2020 that confirms its previous advice that the Development Application is valid and capable of being approved.
|
|
Extra Ordinary Meeting – Tuesday 12 May 2020 Page 1 |
CL20.105 Notice of Motion - CL20.102 Independent Legal Advice - Development Application - Lake View Drive Burrill Lake - Lot A DP21307
HPERM Ref: D20/163925
Submitted by: Clr Mitchell Pakes
Clr Greg Watson
Clr Patricia White
Purpose / Summary
The following Notice of Motion, of which due notice has been given, is submitted for Council’s consideration.
|
That Council 1. Work with the Mollymook Outriggers Canoe Club to find an alternative location. 2. Refuse DA19/1897 Lake View Dr Burrill Lake, Lot A DP 21307.
|
Note by the CEO
This Notice of Motion will be dealt with if the preceding Rescission Motion is carried.
|
|
Extra Ordinary Meeting – Tuesday 12 May 2020 Page 1 |
CL20.106 NSW Coast & Estuary Grants - Bushfire Affected Waterways
HPERM Ref: D20/163998
Section: Environmental Services
Approver: Phil Costello, Director Planning Environment & Development Group
Attachments: 1. Lake Conjola sustained opening to the sea - unsuccessful grant application - bushfire affectd coastal waterways ⇩
2. Shelley Hancock MP media release - successful grants - bushfire affected coastal waterways ⇩
Reason for Report
To seek approval to accept grant offers totalling $1,427,281 under the NSW Bushire Affected Waterways Program.
|
That Council 1. Accept the following grant funding offers from the NSW Government made under the NSW Bushfire affected coastal waterways program i. South east catchment and waterways bushfire recovery plan of $427,281 with a Council contribution of $27,573 ($82,719 to be equally split between the three participating Councils) from the 2020/21 coastal management planning budget (job number 15931) subject to partner Councils Eurobodalla Shire Council and Bega Valley Shire Council contributing the required funds; ii. Shoalhaven LGA Catchment Stabilisation and Ecological Monitoring Works - $1,000,000; and 2. Write to the Minister for Local Government, Shelley Hancock, thanking the NSW Government for the grants. 3. Note the advice received from NSW Department of Planning, Industry & Environment (DPIE) that Council’s application for financial assistance under the Bushfire Affected Coastal Waterways Program for Lake Conjola was unsuccessful as the independent assessment committee determined the project does not meet the program guidelines or objectives and is ineligible for funding and that the project did not rank highly enough through the assessment process to receive grant funding under the 2019-20 program.
|
Options
1. As recommended.
Implications: Council will be able to expedite the recovery of coastal waterway catchments following the 2019/20 bush fires in partnership with Eurobodalla Shire Council, Bega Valley Shire Council and the State Government to protect the environmental, social and economic values of our coastal zone. The effects of the bushfires have the potential to degrade coastal waterways by impacting water quality and sensitive estuary systems, in turn affecting local industries such as tourism and aquaculture. This funding will allow council to mitigate these impacts in partnership with South-East regional councils and NSW Government agencies.
2. Council not accept the grant offers.
Implications: The recovery of coastal waterways and their catchments following the recent bush fires will be significantly impacted and the environmental, social and economic values of these catchments may also decline.
Background
In February 2020, Council applied for the following three grants under the NSW Bushfire Affected Coastal Waterways Program –
· Lake Conjola sustained entrance opening to the sea ($2.3million)
· South East catchment and waterways bushfire recovery plan (Regional application between Shoalhaven, Eurobodalla and Bega Councils - $500,000)
· LGA Catchment Stabilisation and Ecological Monitoring Works ($1million)
Council’s consultative bodies, the Conjola Community Forum and the Red Head Villages Association contributed to the preparation of the Lake Conjola grant application. Council also engaged Greg Britton, Technical Director, Maritime & Aviation, Haskoning Australia to assist in the preparation of the grant application. The grant application project objective was to –
Minimise adverse environmental, social and economic impacts, by providing continued necessary flushing of the lake from sediment, ash and other materials. This will then in turn assist to minimise adverse social and economic impacts to the Lake Conjola community and the Lake as a result of the bushfire crisis. The outcome of this project is therefore expected to contribute to the overall bushfire recovery efforts in the Shoalhaven LGA and in particular Lake Conjola.
A full copy of the grant application and supporting documents can be viewed at https://getinvolved.shoalhaven.nsw.gov.au/lake-conjola/news_feed/lake-conjola-funding-application-lodged-with-the-nsw-state-government
Unfortunately, Council has been advised that the Lake Conjola grant application has not been successful. Council was advised on 5 May 2020 by NSW Department of Planning, Industry & Environment (DPIE) that Council’s application for financial assistance under the Bushfire Affected Coastal Waterways Program was unsuccessful as the independent assessment committee determined the project does not meet the program guidelines or objectives and is ineligible for funding and that the project did not rank highly enough through the assessment process to receive grant funding under the 2019-20 program. A copy of the correspondence to Council is contained within attachment 1.
Although the grant application was not successful, Council officers are preparing a new Crown Land licence application to address concerns within the community to open Lake Conjola should adverse prolonged inundation of residential areas occur again below the triggers within the current Entrance Management Policy or there is significant deterioration of water quality outside, following consultation with Crown Lands. Should a licence application be issued, Council will need to consider allocation of budget.
Two grant applications totalling $1,427,281 have been successful under the NSW Bushfire Affected Coastal Waterways Program (NSW Government media release contained in attachment 2).
Council must accept the offers by signing the grant Agreements by 15th June 2020 or the offers will lapse. No Council financial contribution is required for the $1million Shoalhaven LGA Catchment Stabilisation and Ecological Monitoring Works grant.
The second successful grant is a regional partnership between Shoalhaven, Eurobodalla and Bega Councils to develop a South East catchment and waterways bushfire recovery plan. A Council contribution of $27,573 ($82,719 to be equally split between the three participating Councils) is required for this grant.
The details of each project are as follows:
1. Shoalhaven LGA Catchment Stabilisation and Ecological Monitoring Works
Funding sought - $1million Funding granted – $1million (over 3 years)
Council contribution - $0 Funding term completion date – 1/3/23
Objectives:
Undertake erosion and sediment control, weeding and revegetation, water quality monitoring and minor bank stabilisation works within a number of coastal waterways in the Shoalhaven Local Government Area (LGA) to minimise and mitigate the impacts of the bushfires on sensitive estuary and coastal ecosystems.
The proposed project involves implementing priority emergency sediment and erosion control measures to minimise impacts to estuary health. These devices will capture some of the sediment, ash and other burnt material before it can be discharged into coastal estuaries and waterways. A focus on controlling catchment inputs including sediment, ash and organic material is an immediate priority to assist with protecting water quality and aquatic environments, especially catchment areas draining to high risk coastal estuaries, Endangered Ecological Communities (EECs) and waterways with endangered fish species. In some areas, revegetation will be also be used to manage erosion and speed up regeneration of ground cover.
Background:
The recent Currowan and Comberton fires have critically impacted communities and the environment across the Shoalhaven LGA. The landscape scale fires have burnt across a total of over 300,000 ha and impacted over 25 estuaries and coastal catchments, including sensitive ICOLLs and waterways that have been identified as high to very high risk by DPIE including Lakes Conjola, Tabourie, Swan, Termeil, Meroo and Willinga as well as St Georges Basin and the Clyde River. Many of these catchments have between 75 to 99% of their area impacted by bushfires. Threats to estuaries as a result of fire typically relate to impacts to water quality, bank instability and increased erosion and sedimentation. Where fire has burnt, and disturbed vegetation and soil structures an increase in sedimentation resulting from localised scour and bank slumping occurs. Proliferation of weeds is also a further risk to be managed. Rainfall events in bushfire affected areas have the potential to cause an acute decline in water quality and trigger erosion events which threaten estuary health and aquatic ecosystems. A number of these adverse impacts has resulted from the East Coast Low in February 2020.
Given the vulnerability of estuary systems and ICOLLs to post bushfire impacts, it is essential for Council to implement these proposed emergency sediment and erosion works to reduce the risk of impact on not only the health of estuaries but the economic and social benefit these coastal waterways provide to the local community. Poor water quality in the regions coastal estuaries will have an adverse impact on tourism, recreation use by the community and visitors, and industry such as aquaculture. This project comprises emergency works that need to be implemented as quickly as possible to reduce inputs into coastal waterways, maintain water quality and restore habitat. As a result, these works cannot wait until the opening of the next funding round.
Partnerships:
Council have identified priority catchments where action is necessary and have collaborated with the Department of Planning Industry and Environment (DPIE), Local Land Services (LLS), Environmental Protection Authority (EPA), National Parks and Wildlife Service (NPWS), Forestry NSW, Fisheries NSW, University of Wollongong (UOW) and other Councils on the South Coast to identify estuaries with a high risk to fire impacts.
Regional grant
2. South East catchment and waterways bushfire recovery plan
Funding sought - $510,000 Funding granted – $427,281
Council contribution - $27,573 ($82,719 to be equally split between the three participating Councils)
Funding term completion date – 31/12/20
Objectives:
Develop the South East catchment and waterways bushfire recovery plan.
To assess the extent of bushfire impacts to coastal catchments to identify ongoing priority threats, risks and management actions that will guide soil and water management actions to be implemented under the individual council grant applications (noting emergency works will still need to occur prior to plan finalisation) and into the future after the 3 year period of these other grants.
This project will involve quantifying changes to physical processes that have occurred as a result of fire that influence the management of coastal catchments and waterways, preparation of a risk assessment to determine key threats and values that are impacting environmental, social and economic catchment and waterway values and identifying and evaluating management options for each fire affected catchment. The rationale for evaluating post fire recovery actions will be clearly outlined to ensure that preferred management options are scientifically credible and financially feasible and viable. The Plan will also develop a set of detailed action plans and maps for each Council in the medium to long-term phase of the recovery. This includes prioritisation and costing of recovery measures.
This regional project will provide consistency and efficiency across the three local government areas.
The project will be implemented concurrently with the implementation of emergency soil and water measures detailed in each of the Council’s individual grant applications so that a medium to long-term recovery Plan is established to guide future actions following the immediate response to protect coastal waterways and the economy of the South Coast.
This project is an urgent priority and forms part of the emergency response by south eastern
bushfire affected coastal councils. If this project does not commence as soon as practical, the ongoing threats and risks to the environmental health of coastal catchments and waterways will not be identified and strategically managed. This would result in either in-action or priority threats not being appropriately managed which would further threaten the environmental, cultural, social and economic values of the coastal zone.
Background:
The scale of fires experienced across the Shoalhaven City Council, Eurobodalla Shire Council and Bega Valley Shire Council Local Government Areas burnt a total of over 1 million hectares and impacted approximately 47 estuaries and coastal catchments. Threats to estuaries as a result of fire typically relate to impacts to water quality, bank instability, increased erosion and sedimentation, proliferation of weed species, impacts to riparian corridors and coastal wetlands and terrestrial and aquatic biodiversity.
The fire related impacts to estuaries are exacerbating the environmental stress of ecosystems. The bushfire impacts are compounding the effects of priority threats to environmental assets for the south region as identified in the NSW Marine Estate State Strategy (i.e. agricultural diffuse source runoff, urban stormwater discharge, clearing riparian and adjacent habitat including wetland drainage, and Climate Change).
The proposed project involves preparing a catchment and waterways bushfire recovery plan. This plan will follow on and support the emergency measures being implemented through the individual council grant applications to install soil and water management controls and other rehabilitation works, allowing Shoalhaven, Eurobodalla and Bega Councils to develop a medium and long-term plan following implementation of the immediate actions.
Partnerships:
Shoalhaven City Council, Eurobodalla Shire Council and Bega Valley Shire Council. The project area subject to the grant is shown in Figure 1.

Figure 1: South East catchment and waterways bushfire recovery plan project area
Community Engagement
Consultation has already commenced with NSW Government Agencies and Eurobodalla and Bega Shire Councils and will continue for the 3-year program. It is proposed to establish both internal and external project control groups to ensure consistency and that the priorities of each agency are considered.
Financial Implications
No Council financial contribution id required for the $1million Shoalhaven LGA Catchment Stabilisation and Ecological Monitoring Works grant.
A Council contribution of $27,573 ($82,719 to be equally split between the three participating Councils) is required for the South East catchment and waterways bushfire recovery plan grant. This will be funded from the existing coastal management planning operational budget (Job number 15931).
The tourism and recreation industries are major contributors to the Region’s economy. It follows that protecting our environmental assets must be a priority to ensure a prosperous economy that supports so much of our community.
Risk Implications
It is essential for Council to implement these proposed emergency sediment and erosion works to reduce the risk of impact of not only the health of estuaries but the economic and social benefit these coastal waterways provide to the local community. Poor water quality in the regions coastal estuaries will have an adverse impact on tourism, recreation and primary industry such as aquaculture.
|
|
Extra Ordinary Meeting – Tuesday 12 May 2020 Page 1 |
CL20.107 Proposed Subdivision of Land, Approved by NSW State Government - Manyana
HPERM Ref: D20/163340
Section: Development Services
Approver: Phil Costello, Director Planning Environment & Development Group
Reason for Report
This report is in response to a request for an information report, following consideration of a Notice of Motion put to the Development and Environment Committee by the Mayor.
The Motion was amended (on 5 May 2020) and is reproduced in the Background section of this report.
|
That this report be received and any actions determined.
|
Options
1. Receive the report and if necessary, determine any actions.
Implications: Nil.
2. Resolve alternatively and provide information concerning any future actions.
Implications: Contingent on Council’s resolution.
Background
On 5 May 2020, the following was resolved:
That Council prepare a report to an Extraordinary Meeting to be held on 12 May 2020 in relation to:
1. A moratorium on land clearing with respect to Manyana Estate – Sunset Strip Manyana.
2. The Manyana community representations to the State Government calling for a moratorium
3. Making urgent representations to the Planning Minister Rob Stokes in respect to the moratorium and to discuss the purchase of the block for consideration to add to the Lake Conjola National Park.
4. Discussing with the Minister any options that could exist in respect to planning led solutions.
The Development
This 179 lot subdivision development was approved by the (then) NSW Department of Planning on 08/07/2008. Further details about the application can be found on the Department of Planning Infrastructure and Environment (DPIE) website http://majorprojects.planning.nsw.gov.au/index.pl?action=view_job&job_id=159
Under NSW planning law, approval for developments which have been ‘physically commenced’ does not lapse and continues indefinitely. Physical commencement was achieved with this development by the undertaking of engineering survey work. As such, the consent has been legally activated and the planning assessment cannot be revisited.
During the development assessment process, the effects of the loss of trees associated with residential development was evaluated. In this case, the application was accompanied by a Flora and Fauna Assessment (available on the Department of Planning website). The development was conditionally approved.
Figure 1 – Location – Site Shown in Yellow

Figure 2 – Approved Development
(Approved Plan)

Status of the Development
The Construction Certificate for Stage 1 was issued on 19 November 2019. This will enable the development to commence for that Stage only and will include the asset protection zones required to protect that part of the development from bushfire attack.
On 5 May 2020, there was a site meeting attended by various parties including Council representatives, the proponent, representatives from the DPIE and Shoalhaven City Council’s Mayor. Following that meeting, the developer indicated that the works would not commence as intended, instead there would be a 2-week delay.
On 6 May 2020, the Managing Director of Ozy Homes, Mr Ghazi Sangiar wrote (reformatted from email) as follows:
I write to you about our approved land development in Manyana which was scheduled to start work this week. As you are aware a site meeting was held yesterday and a few locals where there protesting and raising their concerns. I have sent the communities request to Mr David Shoebridge Greens MP’s office and extend this to your office as well.
After the protest we had a constructive meeting with the organisers to really understand
their concerns and open up dialogue to see if we can work a suitable solution moving forward.
I pointed out to the crowd and organisers that we are everyday Australian’s trying to make a living; and this development was an exciting time in our life as we are hoping to one day be part of the community and maybe have a residence there. The organisers pressed to understand what it will take for us to walk away from this dream.
I advised them that we had previously offered the local community through their representatives the opportunity to provide us a LIKE FOR LIKE land swap. In summary we asked Council and different levels of government to provide a similar land within the South Coast which has a similar approval/yield for us to develop. As long as the land is similar in nature; in value and potential we were happy to investigate this option. They further asked if we would just sell back to the government and my advice to them was the value of the land is around the $125-$140k per Lot which is the current market value of similar approved land developments and in sync with what we and other developers are paying for similar developments with the same sales revenue.
My suggestion was it will be hard for the government to commit to something like that or even provide a suitable land swap and we have tried and offered this in the past.
The community has strong faith in Mr Shoebridge MP and we agreed to delay the commencement for two weeks to allow them to investigate this option again with your office.
We can confirm that works have been rescheduled to commence on the 18th May 2020.
In addition to the stringent approval conditions; we have placed the following additional measures in place after listening to the communities concerns:
· Engaging a full time paid Wildlife Animal Carer/organisation to be onsite during the site clearing works to assist if there is any injured or abandoned juvenile wildlife. In addition they will inspect the work area prior to work commencing on a daily basis to ensure any wildlife in the vicinity can be carefully relocated.
· In addition to having a full time ecologist onsite we have arranged our arborist to inspect the works during the clearing process.
· Confirm and stress that the scheduled works are for stage 1 only.
· Further we clarify that all reports and studies including arborist, flora/fauna, vegetation management plans and others have been Updated in 2018/19 as part of the construction certificate process and further evaluated for the recent bushfire events.
· Engaged Eco-Planning to carry out additional monitoring surveys to determine usage of the nest boxes installed including spotlight and call play back surveys prior to the work commencing on the 18th May.
Thank you for your time.
Commentary in response to Council resolution of 5 May 2020
A moratorium on land clearing with respect to Manyana Estate – Sunset Strip Manyana.
As it stands, there is a valid planning approval in place and construction certificate for subdivision works for Stage 1 works.
The legal ability to stop works on this site, considering the approvals in place, is highly questionable and not apparent from a review of relevant legislation. Further, the imposition of a compulsory moratorium by Council does not appear to be legally achievable from a review of legislation by staff. Formal legal advice has not been sought (as yet) in this regard.
The provisions of the NSW Environmental Planning and Assessment Act 1979 in regard to revocation of Development Consents are extremely restrictive and the current circumstances do not meet these restrictions. The overriding issue however is, the revocation provisions do not apply to consents issued by the Minister. The consent was signed by the then Minister for Planning on 8 July 2008.
Section 4.57 of the Act deals with the revocation or modification of development consent and can be viewed at the following link;
https://www.legislation.nsw.gov.au/#/view/act/1979/203/part4/div4.9/sec4.57.
The NSW Government, if inclined to support a moratorium, would need to investigate what, if any, mechanism could be used to cease works but would also need to carefully consider if there would be consequential legal and compensatory actions that would ensue.
The Manyana community representations to the State Government calling for a moratorium
The community has made several phone calls and representations to Council about the development. The overwhelming concern has related to vegetation removal and loss of habitat particularly in light of the bushfires.
It is understood that the community has also made representations to the State and is seeking Council’s assistance in this regard.
On 24 April 2020, Ms J Lowrey (representative of Manyana Matters) wrote to Council and included commentary about a petition presented to Mr David Shoebridge MLC seeking a moratorium on land clearing on areas affected by bushfires. The Hon. Rob Stokes MP, Minister for Planning and Public Spaces acknowledged receipt of the petition and has advised that he has requested the Department to investigate and provide further information to the Clerk of the Parliaments.
Making urgent representations to the Planning Minister Rob Stokes in respect to the moratorium and to discuss the purchase of the block for consideration to add to the Lake Conjola National Park
Councillors could choose to write to the Minister requesting a moratorium and request that the site be purchased. Councillors could also request a meeting. There are likely to be consequences, including financial, if a moratorium is to be pursued.
It is also noted that the subject land does not currently adjoin the existing Conjola National Park and is separated from the Park by various other privately help parcels zoned rural. As such the addition of the area to the National park would logically require acquisition of additional privately owned land. Council has made similar representations to relevant NSW Government Bodies (National Parks & Wildlife Service, Biodiversity Conservation Trust and Crown Lands) regarding the possible acquisition of a privately owned lot at Narrawallee – to date these representations have been unsuccessful.
Discussing with the Minister any options that could exist in respect to planning led solutions.
Planning led solutions could include:
· Finding an existing zoned residential site elsewhere in the City that can be acquired and ‘swapped’ with the developer;
· Finding a site elsewhere in the City that can be acquired and rezoned and then ‘swapped’ with the developer; or
· Pursuing the acquisition of the site should funding exist or be able to be found – noting that indicatively the value could be in the order of $20 million - $25 million.
It is doubtful if there are any equivalent sites of the same size, yield and value in the locality, or potentially the City as a whole, that would be zoned and shovel ready that could be potentially offered up as an alternative development site. Council does not hold sites that would be suitable. It is also likely that there will be no or minimal NSW Government sites that could be considered as part of a solution.
It may not be possible for a ‘like for like’ site to be found or that does not need to be rezoned. Any site that needed to be rezoned, if one could be found, would still require detailed and extensive investigations and an outcome could not be guaranteed.
It is noted that Ozy Homes also owns or has an interest in a site at Nowra Hill that is part zoned industrial and part rural under Shoalhaven LEP2014. They have a rural residential subdivision approval over part of this land that is currently up for sale and a pending industrial subdivision over the Industrial zoned part. The property is also affected by the Regional Services Corridor.
Any rezoning of this area to residential would be at odds with existing strategy, would likely conflict with the protection of HMAS Albatross and would also open-up a range of precedent issues.
|
|
Extra Ordinary Meeting – Tuesday 12 May 2020 Page 1 |
Local Government Amendment (governance & planning) act 2016
Chapter 3, Section 8A Guiding principles for councils
(1) Exercise of functions generally
The following general principles apply to the exercise of functions by councils:
(a) Councils should provide strong and effective representation, leadership, planning and decision-making.
(b) Councils should carry out functions in a way that provides the best possible value for residents and ratepayers.
(c) Councils should plan strategically, using the integrated planning and reporting framework, for the provision of effective and efficient services and regulation to meet the diverse needs of the local community.
(d) Councils should apply the integrated planning and reporting framework in carrying out their functions so as to achieve desired outcomes and continuous improvements.
(e) Councils should work co-operatively with other councils and the State government to achieve desired outcomes for the local community.
(f) Councils should manage lands and other assets so that current and future local community needs can be met in an affordable way.
(g) Councils should work with others to secure appropriate services for local community needs.
(h) Councils should act fairly, ethically and without bias in the interests of the local community.
(i) Councils should be responsible employers and provide a consultative and supportive working environment for staff.
(2) Decision-making
The following principles apply to decision-making by councils (subject to any other applicable law):
(a) Councils should recognise diverse local community needs and interests.
(b) Councils should consider social justice principles.
(c) Councils should consider the long term and cumulative effects of actions on future generations.
(d) Councils should consider the principles of ecologically sustainable development.
(e) Council decision-making should be transparent and decision-makers are to be accountable for decisions and omissions.
(3) Community participation
Councils should actively engage with their local communities, through the use of the integrated planning and reporting framework and other measures.
Chapter 3, Section 8B Principles of sound financial management
The following principles of sound financial management apply to councils:
(a) Council spending should be responsible and sustainable, aligning general revenue and expenses.
(b) Councils should invest in responsible and sustainable infrastructure for the benefit of the local community.
(c) Councils should have effective financial and asset management, including sound policies and processes for the following:
(i) performance management and reporting,
(ii) asset maintenance and enhancement,
(iii) funding decisions,
(iv) risk management practices.
(d) Councils should have regard to achieving intergenerational equity, including ensuring the following:
(i) policy decisions are made after considering their financial effects on future generations,
(ii) the current generation funds the cost of its services
Chapter 3, 8C Integrated planning and reporting principles that apply to councils
The following principles for strategic planning apply to the development of the integrated planning and reporting framework by councils:
(a) Councils should identify and prioritise key local community needs and aspirations and consider regional priorities.
(b) Councils should identify strategic goals to meet those needs and aspirations.
(c) Councils should develop activities, and prioritise actions, to work towards the strategic goals.
(d) Councils should ensure that the strategic goals and activities to work towards them may be achieved within council resources.
(e) Councils should regularly review and evaluate progress towards achieving strategic goals.
(f) Councils should maintain an integrated approach to planning, delivering, monitoring and reporting on strategic goals.
(g) Councils should collaborate with others to maximise achievement of strategic goals.
(h) Councils should manage risks to the local community or area or to the council effectively and proactively.
(i) Councils should make appropriate evidence-based adaptations to meet changing needs and circumstances.